
Matematyka
Naucz się, jak obliczyć sinus kąta za pomocą prostych metod, takich jak kalkulatory, tablice trygonometryczne i szereg Taylora. Zastosuj w praktyce!
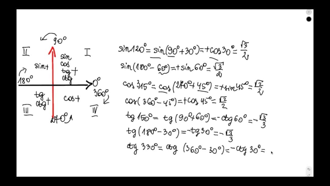
Naucz się, jak obliczyć sinus kąta za pomocą prostych metod, takich jak kalkulatory, tablice trygonometryczne i szereg Taylora. Zastosuj w praktyce!