Nierówności w matematyce to kluczowy temat, który odgrywa istotną rolę w analizie relacji między liczbami i wyrażeniami. Umożliwiają one porównanie wartości, co jest niezbędne w wielu dziedzinach matematyki, od algebry po analizę matematyczną. Istnieją różne rodzaje nierówności, w tym ostre i nieostre, które różnią się swoimi właściwościami i zastosowaniami. W niniejszym artykule przyjrzymy się, jak rozwiązywać nierówności oraz jak unikać najczęstszych błędów, które mogą prowadzić do nieprawidłowych wyników.
Rozwiązywanie nierówności wymaga zrozumienia zasad, które są podobne do tych stosowanych w równaniach. Jednakże, istnieją istotne różnice, takie jak zmiana znaku nierówności przy mnożeniu lub dzieleniu przez liczby ujemne. Warto zatem poznać te zasady, aby skutecznie i poprawnie rozwiązywać nierówności oraz interpretować zbiory rozwiązań.
Najistotniejsze informacje:- Nierówności to relacje porządku, które porównują wartości dwóch wyrażeń.
- Istnieją cztery podstawowe znaki nierówności: >, <, ≥, ≤.
- Nierówności dzielą się na ostre (mocne) i nieostre (słabe), co wpływa na ich interpretację.
- Rozwiązywanie nierówności wymaga znajomości zasad dodawania, odejmowania, mnożenia i dzielenia.
- Zmiana znaku nierówności przy mnożeniu lub dzieleniu przez liczbę ujemną jest kluczowa dla poprawności obliczeń.
- Najczęstsze błędy obejmują nieprawidłową interpretację zbiorów rozwiązań i zignorowanie zmiany znaku nierówności.
Nierówności w matematyce: Definicje i podstawowe pojęcia
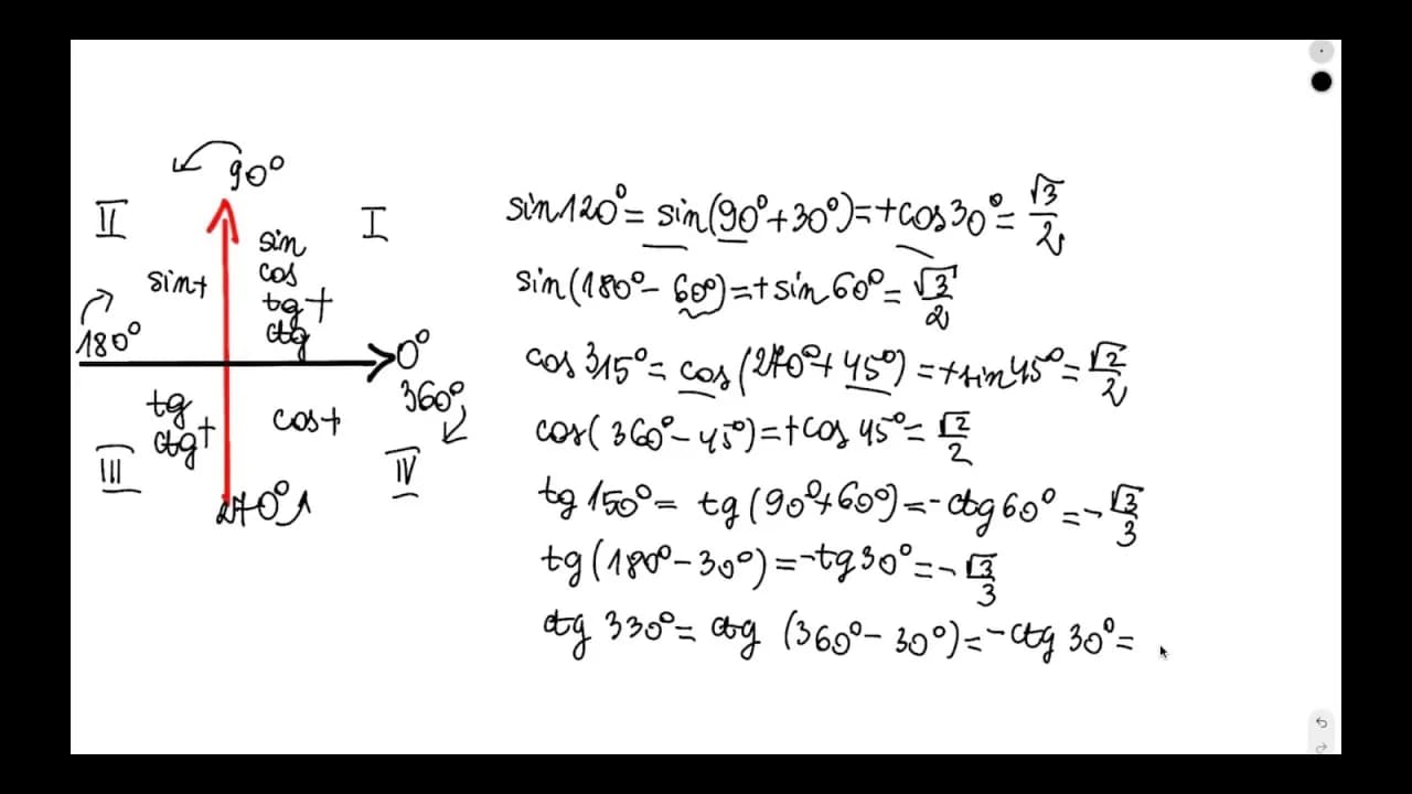
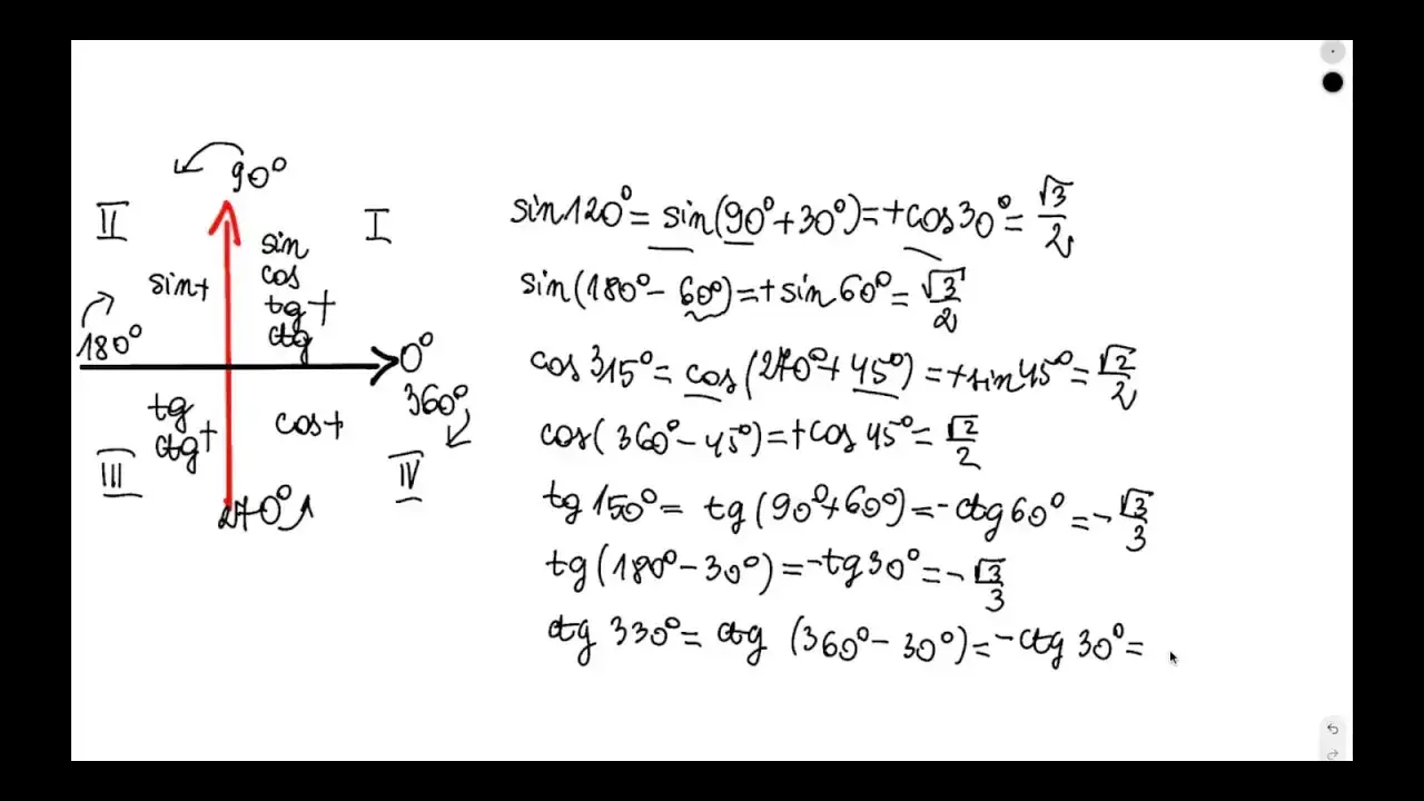
Nierówności w matematyce to relacje porządku, które pozwalają na porównanie dwóch wyrażeń. Umożliwiają one określenie, jak jedna liczba lub wyrażenie odnosi się do drugiego. W matematyce wyróżniamy cztery podstawowe znaki nierówności: > (większe niż), < (mniejsze niż), ≥ (większe lub równe) oraz ≤ (mniejsze lub równe). Nierówności są niezwykle istotne, ponieważ ich rozwiązania często prowadzą do zbiorów liczb, które spełniają określone warunki, a nie do pojedynczych wartości.
Nierówności mogą być używane w różnych kontekstach matematycznych, takich jak algebry, analizy matematycznej czy geometrii. W praktyce, zrozumienie nierówności jest kluczowe dla rozwiązywania problemów matematycznych, ponieważ pozwala na analizę i interpretację wyników. Dzięki nim możemy określić zakres wartości, które są akceptowalne w danym kontekście, co jest niezbędne w wielu zastosowaniach.
Rodzaje nierówności: Zrozumienie różnic między nimi
Nierówności w matematyce dzielą się na kilka typów, w tym liniowe, polinomialne oraz rationalne. Nierówności liniowe to te, które można przedstawić w postaci ax + b > 0, gdzie a i b są stałymi. Charakteryzują się one prostą strukturą i są najczęściej spotykane w podstawowej algebrze. Nierówności polinomialne natomiast obejmują wyrażenia, w których występują wielomiany, co sprawia, że ich rozwiązanie może być bardziej złożone.
Rationalne nierówności to takie, które zawierają ułamki, gdzie licznik i mianownik są wielomianami. Ich analiza wymaga zrozumienia punktów nieciągłości oraz miejsc zerowych, co może być kluczowe dla znalezienia zbioru rozwiązań. Każdy z tych rodzajów nierówności ma swoje unikalne cechy i metody rozwiązywania, co czyni je interesującym tematem w matematyce.
Ostre i nieostre nierówności: Jak je rozróżniać?
Nierówności dzielą się na ostre (mocne) oraz nieostre (słabe), co wpływa na ich interpretację i zastosowanie. Ostre nierówności, takie jak > (większe niż) i < (mniejsze niż), wskazują na relację, w której jedna wartość nie może być równa drugiej. Na przykład, w nierówności x > 5, x musi być większe niż 5, co oznacza, że 5 nie jest dozwolone jako wartość dla x. Z kolei nieostre nierówności, takie jak ≥ (większe lub równe) i ≤ (mniejsze lub równe), pozwalają na równość. Przykładowo, w nierówności x ≥ 5, x może być równy 5 lub większy.
Czytaj więcej: Ile ludzi mieszka w Paryżu? Zaskakujące fakty o populacji miasta
Różnice te mają istotne znaczenie w kontekście rozwiązywania problemów matematycznych. Na przykład, przy rozwiązywaniu nierówności, musimy zwrócić uwagę na to, czy mamy do czynienia z nierównością ostrą czy nieostro. W przypadku nierówności ostrych, nie możemy uwzględniać wartości, które są równe, podczas gdy w przypadku nieostrych możemy to zrobić. Przykłady nierówności ostrych to 3 < x < 7, natomiast nieostre mogą wyglądać jak x ≥ 2 lub x ≤ 10, co wskazuje na szerszy zbiór rozwiązań.
Rozwiązywanie nierówności liniowych: Praktyczne przykłady
Rozwiązywanie nierówności liniowych polega na znalezieniu wartości zmiennej, które spełniają daną nierówność. Proces ten jest podobny do rozwiązywania równań, ale należy pamiętać o kilku kluczowych zasadach. Na przykład, jeśli mnożymy lub dzielimy przez liczbę ujemną, musimy zmienić znak nierówności. Aby skutecznie rozwiązać nierówność liniową, można stosować operacje takie jak dodawanie, odejmowanie oraz mnożenie i dzielenie.
- Przykład 1: Rozwiąż nierówność 2x + 3 < 11. Aby to zrobić, najpierw odejmujemy 3 od obu stron: 2x < 8. Następnie dzielimy przez 2: x < 4. Zatem rozwiązaniem jest zbiór liczb mniejszych niż 4.
- Przykład 2: Rozwiąż nierówność -3x ≥ 9. Najpierw dzielimy przez -3, zmieniając znak nierówności: x ≤ -3. Rozwiązaniem jest zbiór liczb mniejszych lub równych -3.
- Przykład 3: Rozwiąż nierówność x - 5 > 2. Dodajemy 5 do obu stron: x > 7. Ostatecznym rozwiązaniem jest zbiór liczb większych niż 7.
Rozwiązywanie nierówności kwadratowych: Kluczowe techniki
Rozwiązywanie nierówności kwadratowych wymaga zastosowania różnych technik, w tym analizy wykresów oraz metod prób i błędów. Aby znaleźć rozwiązania, możemy użyć tzw. punktów testowych, które pozwalają określić, w których przedziałach funkcja kwadratowa przyjmuje wartości dodatnie lub ujemne. W przypadku nierówności kwadratowych, kluczowe jest również zrozumienie miejsc zerowych, które są punktami, w których funkcja przecina oś x.
| Nierówność kwadratowa | Miejsca zerowe | Rozwiązanie |
| x² - 5x + 6 < 0 | x = 2, x = 3 | 2 < x < 3 |
| x² + 4x + 3 ≥ 0 | x = -1, x = -3 | x ≤ -3 lub x ≥ -1 |

Najczęstsze błędy w rozwiązywaniu nierówności: Jak ich unikać?
Podczas rozwiązywania nierówności w matematyce istnieje wiele pułapek, które mogą prowadzić do błędnych wyników. Najczęstsze błędy obejmują nieprawidłowe operacje matematyczne, takie jak pomijanie zmiany znaku nierówności w przypadku mnożenia lub dzielenia przez liczby ujemne. Warto również zwrócić uwagę na błędną interpretację zbiorów rozwiązań, co może prowadzić do nieporozumień. Zrozumienie tych błędów i ich przyczyn jest kluczowe dla skutecznego rozwiązywania nierówności.
Jednym z najczęstszych błędów jest nieprawidłowe traktowanie nierówności podczas wykonywania operacji na obu stronach. Na przykład, podczas mnożenia obu stron nierówności przez liczbę ujemną, konieczne jest zmienienie znaku nierówności. Ignorowanie tej zasady może prowadzić do całkowicie błędnych wyników. Kolejnym problemem jest niewłaściwe zrozumienie zbiorów rozwiązań, co może skutkować nieprawidłowymi odpowiedziami w kontekście praktycznym, na przykład w zadaniach z zastosowaniem w życiu codziennym.Zmiana znaku nierówności: Dlaczego to ma znaczenie?
Zmiana znaku nierówności jest kluczowym elementem podczas rozwiązywania nierówności w matematyce. Kiedy mnożymy lub dzielimy obie strony nierówności przez liczbę ujemną, musimy zmienić znak nierówności na przeciwny. To zasada, która jest często pomijana, a jej zignorowanie prowadzi do błędnych wyników. Na przykład, jeśli mamy nierówność -2x < 6 i dzielimy obie strony przez -2, to musimy zmienić znak nierówności, co daje nam x > -3.
- Przykład 1: Dla nierówności -3x ≥ 9, dzieląc przez -3, zmieniamy znak nierówności: x ≤ -3.
- Przykład 2: W przypadku 4 < -2x, dzieląc przez -2, otrzymujemy x < -2, zmieniając znak nierówności.
- Przykład 3: Z nierówności -5 < 3x, dzieląc przez -3, zmieniamy znak na: x < -5/3.
Błędy w interpretacji zbiorów rozwiązań: Przyczyny i skutki
Interpretacja zbiorów rozwiązań dla nierówności w matematyce może być trudna, a wiele osób popełnia błędy, które prowadzą do nieprawidłowych wniosków. Często zdarza się, że uczniowie mylą zbiory rozwiązań nierówności z rozwiązaniami równań, co może prowadzić do błędnych interpretacji. Na przykład, w przypadku nierówności x < 5, niektórzy mogą pomyśleć, że 5 jest również rozwiązaniem, co jest nieprawdziwe. Zrozumienie, które wartości są dozwolone, a które nie, jest kluczowe dla poprawnej analizy wyników.
- Upewnij się, że znasz różnicę między ostrymi a nieostrymi nierównościami, co wpłynie na to, czy wartości graniczne są włączone do rozwiązania.
- Podczas rysowania wykresów, zawsze oznaczaj wartości graniczne, aby zobaczyć, które przedziały są dozwolone.
- Regularnie ćwicz rozwiązywanie nierówności, aby zwiększyć swoje umiejętności w interpretacji zbiorów rozwiązań.
Praktyczne zastosowania nierówności w codziennym życiu
Nierówności w matematyce mają wiele praktycznych zastosowań, które wykraczają poza klasyczne zadania szkolne. Na przykład, w ekonomii nierówności mogą być używane do analizy kosztów i korzyści, gdzie przedsiębiorcy muszą określić, jakie ceny muszą ustalić, aby ich zyski były większe niż koszty produkcji. Ustalając nierówności, mogą oni lepiej planować swoje strategie cenowe oraz podejmować decyzje dotyczące inwestycji.
Innym zastosowaniem jest inżynieria, gdzie nierówności są wykorzystywane do określenia granic bezpieczeństwa w konstrukcjach. Na przykład, inżynierowie mogą stosować nierówności do określenia maksymalnych obciążeń, jakie mogą wytrzymać materiały budowlane, co jest kluczowe dla zapewnienia bezpieczeństwa budowli. Zrozumienie i umiejętność stosowania nierówności w praktycznych sytuacjach może znacząco wpłynąć na sukces zawodowy w wielu dziedzinach. Warto zatem rozwijać umiejętności związane z nierównościami, aby efektywnie wykorzystywać je w różnych kontekstach życiowych.




