
Jak obliczyć sinus: Proste metody i przykłady dla każdego
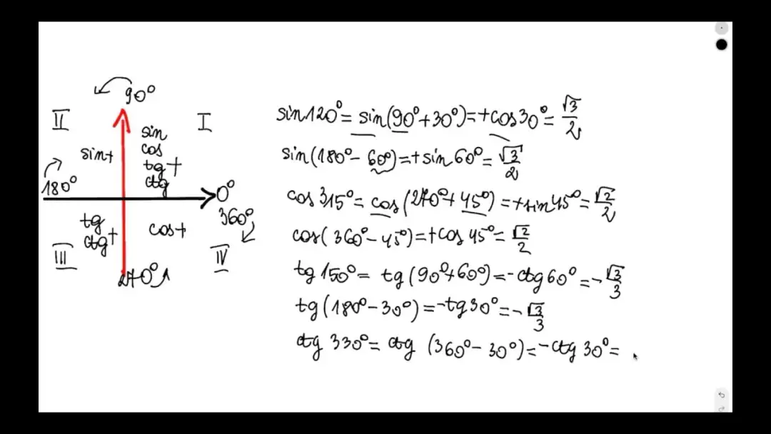
Naucz się, jak obliczyć sinus kąta za pomocą prostych metod, takich jak kalkulatory, tablice trygonometryczne i szereg Taylora. Zastosuj w praktyce!
Matematyka nie musi być nudna, a w naszym blogu pokazujemy, jak można ją wykorzystać w kontekście turystyki. Z nami dowiesz się, jak obliczenia mogą pomóc w planowaniu idealnej trasy podróży, jak statystyki wpływają na wybór destynacji, a także jakie matematyczne zagadnienia kryją się za najpiękniejszymi miejscami na świecie. Nasze artykuły są pełne ciekawostek, które nie tylko wzbogacą Twoją wiedzę, ale również zainspirują do odkrywania nowych miejsc. Zapraszamy do lektury, gdzie matematyka spotyka się z przygodą, a każda podróż staje się fascynującą opowieścią.

Naucz się, jak obliczyć sinus kąta za pomocą prostych metod, takich jak kalkulatory, tablice trygonometryczne i szereg Taylora. Zastosuj w praktyce!

Naucz się, jak rozwiązać równanie algebraiczne krok po kroku. Poznaj metody, unikaj błędów i weryfikuj swoje rozwiązania, aby osiągnąć sukces w matematyce.

Zrozum funkcję kątową w matematyce i jej zastosowania w trygonometrii. Odkryj, jak kofunkcje wpływają na rozwiązania problemów matematycznych.

Zrozumienie nierówności w matematyce jest kluczowe. Dowiedz się, jak unikać najczęstszych błędów i poprawnie interpretować zbiory rozwiązań.

Zrozum, co to są wierzchołki w matematyce, ich znaczenie w geometrii oraz zastosowania w informatyce i teorii grafów. Dowiedz się więcej!

Zrozum, dlaczego logarytmy a po co mi ta matma są kluczowe w naukach ścisłych i jak ułatwiają codzienne obliczenia w finansach i technice.

Poznaj, czym jest równanie co to, jego definicję, kluczowe elementy oraz różne rodzaje równań w matematyce. Zastosuj wiedzę w praktyce!

Poznaj, co to jest NWW w matematyce i jak wykorzystać najmniejszą wspólną wielokrotność w praktyce. Zrozumienie NWW ułatwi rozwiązywanie zadań matematycznych.